
If you haven’t watched Dead Of Summer yet, I don’t really care either way. It’s meh, mostly. Yet I was in a binge this weekend to get caught up and noticed something that was particularly relevant for me right now. I’m writing a horror novel – about 40k words in to a targeted 90k, and so I’m particularly concerned with how to get someone on the edge of their butt, chomping their tongue in anticipation and as nervous as I can make them. While this show is fun, it’s not scary in even the smallest sense, though I think it tries to be. Maybe we should have a look at why it fails to see how I can succeed. It’s what I thought, at least.
Go read reviews from the second Avengers movie. One thing you’ll find is a lot of people annoyed with the weird dream sequences. Should you peruse what the masses had to say overall about Batman Versus Superman, you’ll find similar irritation with dream sequences. Let’s not get into whether you dug those movies, okay? I get how divisive that is right now – it’s been Marvel Versus DC since the seventies, nothing to see here. The point I’m making is about the overuse of this narrative technique and how it practically forces an audience to disengage. In movies, it’s probably an excuse to just show some cool visuals. In execution though, it’s a signal to me I’m good to go get a refill on my Coke Icee. Know what I mean?
Anyway, back to Dead Of Summer. Here’s the marketing blurb:
“Set in 1989, school is out for the summer, and a sun-drenched season of firsts beckons the counselors at Camp Stillwater, a seemingly idyllic Midwestern summer camp, including first loves, first kisses—and first kills. Stillwater’s dark, ancient mythology awakens, and what was supposed to be a summer of fun soon turns into one of unforgettable scares and evil at every turn.”
If you read that, you agree they want to be scary, right? Their narrative structure follows the same style as Lost, involving individual character flashbacks to flesh out each main player. Honestly, that part works for me, though the flashbacks they showed had little to do with decisions characters were making in the storyline. It came off cheaper than it did in Lost for that reason. However – and this is my overall point here – about a gajillion times, we are shown visions of a dark, mysterious man from the 19th century who’s supposedly tied in with the mysterious goings-on at the camp. I mean over and over and over, we see this guy and some blood streaming off something, or eclipses or bugs or murders or whatever…and EVERY SINGLE TIME you know it’s going to be a vision with no consequences. You can’t possibly get scared because even though somebody gets pushed into a grave or dunked underwater or whatever – I can’t even remember because I checked out during so many of those – that they’re just going to wake up and be okay. It’s foreboding but not much more.
Let’s set aside movies like Inception, which broke ground with this concept and the Freddy Krueger films (the good ones, let’s not discuss the Dream Warriors, shall we?) which staked their premises on the dream sequence. The difference with stories like those is they established consequences – you could die in those dreams. How boring would The Matrix have been if you couldn’t die while inside?
I run into this problem of consequences a lot, actually. If you’re a science fiction guy, you might think a lot about the vast distances in space and how slow moving any real-life story would be…months to get anywhere and hours to talk to each other. You might go the road of setting up avatars or virtual reality-style storylines to account for that; but honestly, you’re still looking at ridiculous lag times for the signals. If you hand-wave all of that and just say ‘tachyons’ or ‘entanglement’ to get the science-snobs off your back, you’ll be looking at this problem of consequences just like I am. If your guy is actually laying in a booth in Utah or wherever directing the action, how are there any stakes for him?
Right. So there have to be consequences and some kind of danger that’s entirely relatable. If you watch Game Of Thrones or The Walking Dead enough, you start to think at any moment this freaking show is going to kill off one of your favorite characters. Mercilessly. Back in the nineties, Joe Quesada who was then Editor-In-Chief at Marvel Comics (pre-Disney) established a “dead is dead” rule for killing off characters to restore some kind of drama given the prevalence of resurrections. Fantastic concept, actually, though he drifted wide off the mark over his tenure.
That’s what I wanted to say, guys. Dream sequences and visions are tired and boring and are basically tickets for your audience to disconnect. Don’t do that. Avoid resurrections too, while you’re at it. Kill a major character early on just for giggles, to challenge yourself, and to set the bar for your reader that YOU AREN’T PLAYING AROUND…THIS IS SERIOUS!.
Have fun!


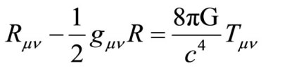
Here they are: Einstein’s Field Equations defining gravity. Why things fall down. All the jibber jabber on the left-hand side is just saying that spacetime curves. It doesn’t say why, just that it does. Einstein came up with all that on the left just to make the math work out, not because he was a prophet or anything. But he started with the doohickey on the right…the ‘T’. He knew he’d use that, and the idea that energy is conserved; and then he just started diddling around to see what he could do with it. Let’s say that was his original inspiration, the way a writer might suddenly string two things together to make a story idea. How pregnant with potential and thrilling, right! So what’s ‘T’, then?
